Диаметр дымохода для печи на дровах.. Как рассчитать диаметр дымохода
- Диаметр дымохода для печи на дровах.. Как рассчитать диаметр дымохода
- Диаметр трубы для кирпичной печи. Труба на кирпичную печь: какую лучше поставить
- Как влияет диаметр дымохода на тягу. Что такое тяга
- Дымоход для печи на дровах. Все о дымоходах для дровяных печей
- Размер дымохода из кирпича. Выбор строительного материала для дымохода
Диаметр дымохода для печи на дровах.. Как рассчитать диаметр дымохода
При проектировании дымохода, необходимо выбрать тот материал, который использовать. А материал во многом зависит от того, какое топливо будет использоваться при отоплении. Ведь дымоход предназначен для вывода остатков горения одного топлива, и не подойдет при другом. Например, дымоходная труба из кирпича прекрасно функционирует с дровами, но не годится для отопительных приборов, работающих с газовым топливом.
Кроме этого, необходим верный расчет диаметра домоходной трубы. Если дымоотвод используется для одного обогревательного прибора, проблему можно решить, просмотрев технические документы, предоставленные заводом, изготовившим прибор. А если в одну трубу подключается несколько разных систем, то для расчета дымохода, нужно знание законов термодинамики, профессиональный расчет, особенно диаметр трубы. Неправильно считать, что диаметр нужен побольше.
Шведский метод
Среди разных способов расчета диаметра, важна оптимально подходящая схема, особенно если приборы низкотемпературные и длительного горения.
Для определения высоты учитывают отношение площади сечения дымоходной трубы к внутренней камере сгорания. Высоту трубы определяют соответственно графику:

Где f — площадь разреза дымохода, а F – площадь топки.
Пусть, к примеру площадь сечения топки F равна 70*45=3150 кв. см, а сечение дымоходной трубы f — 26*15=390. Соотношение между приведенными параметрами составляет (390/3150)*100%=12,3%. Сверив полученный результат с графиком, видим что высота дымохода примерно равна 5 м.
Важно! Такой метод вычисления больше подходит для каминных приборов, ведь здесь не учитывается объем воздуха внутри топки.
Важно! В случае установки дымоотвода для сложных отопительных систем важно рассчитать параметры дымоотводящей трубы.
Точный расчет
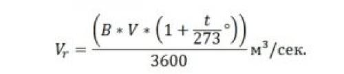
Чтобы рассчитать нужное сечение дымохода, обязательно учесть все его характеристики. Для примера можно выполнить стандартный подсчет размеров дымоотвода, подключаемой к дровяной печи. Берут такие данные для вычислений:
- температура отходов горения в трубе равна t=150°С;
- скорость прохождения по трубопроводу отходов равна 2 м/с;
- скорость сгорания дров B равна 10 кг/ч.
Если следовать этим показателям, можно заняться расчетами. Для этой цели вычисляют количество выходящих продуктов горения по формуле:

Здесь V равен количеству воздуха, который требуется для сгорания топлива со скоростью v= 10 кг/час. Оно равно 10 м³/кг.


Диаметр трубы для кирпичной печи. Труба на кирпичную печь: какую лучше поставить

Один из часто задаваемых мне вопросов: какую трубу для печи в доме лучше поставить — кирпичную, асбестоцементную, железную или сэндвич?
Сегодня я расскажу о плюсах и минусах разных вариантов, опишу процесс их установки и покажу, как правильно вывести трубу печи через крышу. Информация практическая, проверенная многолетним опытом — читайте, будет полезно.
Труба кирпичной печи
Давайте для начала определимся, что значит правильно вывести трубу печи и чем это будет отличаться от «неправильно»? Правильно, это когда:
- Печь будет топиться без проблем.
- Труба не будет причиной возгораний.
- Крыша вокруг трубы не будет протекать.
- В трубе не будет собираться конденсат.
- Все сделано качественно и надолго.
Поэтому я не буду набивать текст статьи рекомендациями «в какой руке держать мастерок», а остановлюсь только на важных моментах. И, конечно, подскажу некоторые строительные фишки и технологии — нет, не авторские и эксклюзивные, но помогающие далеким от печных дел людям.
И так, критерии выбора и требования при установке трубы на кирпичную печь следующие:
- Цена вопроса — многие ищут более бюджетные варианты.
- Влияние на процесс эксплуатации печи — труба не должна создавать препятствий хорошей тяге.
- Трудоемкость установки.
- Долговечность и ремонтопригодность.
- Пожарная безопасность — ввиду близости легковоспламеняющихся конструктивных элементов потолка и крыши.
И так, печь (русская, шведка или голландка) в доме сложена. Желательно кладку конструктивных элементов дымовых каналов заканчивать на расстоянии не менее 20 см от потолка во избежание возгораний.
Завершающим этапом остается вывести трубу. В последнем колодце монтируется задвижка и до чердачного перекрытия можно выкладывать кирпич на ребро или в полкирпича в продолжение стенок колодцев, а далее есть некоторые нюансы.
Как правильно вывести трубу печи через потолок
Выпиливаем в потолке отверстие. Его размер должен быть таким, чтобы от внутренних стен дымохода до досок потолка расстояние было не менее 25 см.

Чтобы обезопасить дом от пожарных ситуаций, можно использовать один из двух вариантов вывода трубы через потолок:
- Делать распушку — постепенное утолщение кирпичных стенок кладкой.

В районе потолка будет достаточно толщины стенок трубы в один кирпич — 25 см.
- Вариант проще — сделать из листового железа окантовку кирпичной трубы с таким учетом, чтобы от дымового канала до деревянных элементов потолка было расстояние не менее тех же 25 см.

На окантовку вокруг трубы укладывается негорючий материал — войлок, пропитанный глиняной суспензией, стекловата, керамзит и прочее, чтобы избежать возможности нагрева и воспламенения расположенных рядом деревянных поверхностей.
К этому вопросу желательно подойти серьезно, махнешь рукой на эти «мелочи» — потом может аукнуться.
Помнится, когда в нашей деревне шел бум подключения газа, многие домовладельцы клали трубы без соблюдения требований ПБ — «поставим пожарнику магарыч и все подпишет». Раз я был свидетелем — приехал пожарник, посмотрел трубу с косяками и сказал: «Я-то подпишу, но жить здесь Вам».
Так что делайте, как положено, жить в этом доме Вам.
Выбор и установка трубы
После выхода на чердак можно продолжить кладку трубы, а можно установить готовую.
Какие трубы печи лучше? У каждой есть свои плюсы и минусы — давайте их рассмотрим.
Кирпичная
Классика, используемая много лет — кирпичная труба для печи в доме. Но, несмотря на «долголетие», этот вариант имеет и некоторые недостатки. Начнем, однако, с плюсов.
- Не требуется обязательное утепление, так как толщины стенок даже в полкирпича достаточно для быстрого прогрева стенок внутри дымохода и отсутствия их промерзания в зимнее время.
- Проста в обслуживании, при необходимости можно легко нарастить или «урезать» по высоте.
К минусам я бы отнес недолговечность кирпичной трубы и ее довольно частый ремонт — кирпич разлагается, штукатурка осыпается. Происходит это из-за того, что на внутренних стенках оседает конденсат пара остывших отработанных газов. Постепенно влага насыщает кирпичи, и в мороз происходит их разрушение. И чем хуже тяга печи, чем ниже температура дыма на выходе из трубы, тем чаще требуется ремонт.
Источник: https://baget-bez-stusla.aystroika.info/stati/kak-uznat-diametr-dymohoda-primery-raschetov
Как влияет диаметр дымохода на тягу. Что такое тяга
Процесс образования естественной тяги в дымоходе можно описать с точки зрения такой науки, как физика следующим образом:
- газы, раскаленные за счет сгорания в печи (котле) дров или их аналогов, имеют температуру около 1000ºС;
- по законам физики прогретый воздух всегда поднимается вверх;
- поднимаясь по специальной трубе (со скоростью приблизительно 2 м/с) газы создают область пониженного давления;
- давление стабилизируется за счет притока свежего воздуха, который попадает в печь (котел) через специальные поддувала, колосниковые решетки и иное аналогичное оборудование.

Движение газов при правильной тяге
Исходя из физических процессов образования естественной тяги в трубе, можно определить перечень факторов, влияющих на ее величину. К ним относятся:
- длина дымохода. В соответствии с действующими нормами длина дымоотводного канала не должна быть менее 5 м. Оптимальный показатель длины можно определить, исходя их места расположения дымохода на крыше;

Расчет длины дымохода в соответствии с его расположением
- материал, из которого изготовлен дымоход . Чтобы максимально облегчить прохождение газов, рекомендуется изготавливать дымоход из материалов с ровной внутренней поверхностью. А если это правило не соблюдено, то прибегать к периодической чистке канала для удаления сажи и иных отложений;
- наличие/отсутствие утеплителя. Если дымовой канал не утеплен с внешней стороны, то при остывании газов будет образовываться большое количество конденсата, который негативно влияет на уровень тяги;

Защита от образования конденсата
Производить утепление дымохода можно только негорючими материалами.
- сечение трубы. Именно от правильно подобранного диаметра дымовой трубы и зависит уровень тяги.
Тяга в дымоотводящем канале также обуславливается и естественными факторами:
- температурой и влажностью внутри жилого помещения;
- погодными условиями (ветер, осадки, низкая температура и так далее);
- количеством проживающих;
- периодичностью проветривания и так далее.
Как проверить наличие/отсутствие тяги? Произвести проверку уровня тяги в трубе можно при помощи зажженной спички, свечи или бумаги.

Дымоход для печи на дровах. Все о дымоходах для дровяных печей

Практически для любого типа печей дымоход – один из основных элементов, через него выводятся продукты горения. Выбор типа дымохода, его размеров и материала изготовления в первую очередь зависит от параметров печи, условий и частоты использования. При должном подходе к монтажу и выбору материалов система дымоотведения не доставит лишних хлопот, единственное к чему она требовательна – соблюдение чистоты.
Основные требования
Температура горения древесины ниже, чем угля и газа. Несмотря на это, дымоходы печей на дровах все же должны выдерживать разогрев свыше 150°С.
Большинство дымоходных труб справляется с такой задачей, однако в процессе горения выделяются агрессивные вещества, которые постепенно разъедают стенки. Поэтому специалисты рекомендуют дымоходные трубы из металлов устойчивых к агрессивной среде марок.
Второй момент, снижающий эффективность отведения дымовых газов, – образование конденсата на внутренних стенках. Со временем конденсат может привести к закупорке всего устройства дымохода. Во избежание этого трубу утепляют. Оптимальной конструкцией на сегодня является «сэндвич». В этом случае температура газов из печи выравнивается с окружающей средой постепенно, поэтому точка росы наступает редко, и конденсата образуется меньше.
Типы конструкций
Классифицировать типы дымоходов можно по двум параметрам: в зависимости от материала изготовления и от типа монтажа.
По видам материала они бывают:
- кирпичными;
- металлическими;
- керамическими;
- «сэндвич» – представляют собой 2 слоя стали с утеплителем между ними.
По типу монтажа делятся на внешние и внутренние.
Внешние
Монтируется снаружи и связан с котлом через стену.
Его довольно просто монтировать, не нужно дырявить межэтажные перекрытия. Он не съедает полезную площадь в доме, кроме того, его можно монтировать даже после чистовой отделки помещения.
Однако нужно изначально планировать внешний дымоотвод утепленным, предусмотреть надёжное его крепление и эстетичный внешний вид.
Внутренние
Располагается в помещении и выходит через крышу.
Служит дополнительным источником тепла и в меньшей степени зависим от внешних температур. Такой дымоход обычно планируют ещё на стадии проектирования дома. Его самый большой недостаток в том, что он скрадывает значительную часть внутреннего пространства.
В современном домостроительстве имеют место оба варианта установки. Каждый выбирает в силу предпочтений и средств.
Материалы
На срок службы дымоотвода напрямую влияет то, из какого материала он сделан. Наиболее распространены здесь различные марки стали. Это не только самый простой и бюджетный в работе, но и самый надежный материал.
Металлические дымоходы делают из нержавейки, оцинковки и чёрного металла.
Нержавеющая сталь
Жаропрочная (выдерживает нагрев более 600°С) и стойкая к агрессивной среде сталь. Её выбирают за долгий срок службы и безопасность использования. Рекомендуется использовать изделия из нержавейки минимальной толщиной 0,8 мм. Подходит для помещений жилого и технического назначения.
Оцинкованная сталь
Это доступный вариант для дымоотвода. Металл покрыт слоем цинка, который защищает от негативных воздействий агрессивной среды. Дымоходная труба из оцинковки имеет меньший срок службы, так как тоньше и требует обязательного утепления.
Черная сталь
Самый бюджетный вариант. Его использование может быть обосновано только очень скромным бюджетом строительства. Чаще всего дымоходы из чёрной стали ставят на дачах, банях малого размера, а также в теплицах и подсобных помещениях.
Нюансы выбора
Оптимальный выбор дымохода для дровяной печи зависит от многих параметров . Ситуации бывают разными как с помещением – может быть капитальное строительство жилого дома, а может быть и просто времянка для сезонных работ, так и с самой печью – обычная конвекционного типа или длительного горения.
Рассмотрим, для чего лучше подходит тот или иной тип дымохода, и какие имеются достоинства и недостатки.
Кирпичные дымоходы отличаются долговечностью, подходят для установки как в большом частном деревянном доме, так и в коттедже, где не будет ощущаться большой вес и массивность изделия.
Однако современные котлы увеличивают нагрузку на такой тип дымоотвода, требуется установка дополнительных металлических вкладышей. В целом монтаж такого изделия довольно сложен и требует высокой квалификации каменщика.
Металлические – недорогие и быстровозводимые дымоходы. Лёгкие, подходят для небольших жилых помещений, бань и технических зданий. Имеют небольшой срок эксплуатации – не более 15 лет.
Керамические – лидеры по сроку эксплуатации (более 50 лет) и жаростойкости (выдерживают нагрев свыше 550°C). Отлично подходят для каминов. Дороги в производстве, отличаются хрупкостью и требуют наличия фундамента.
«Сэндвич» – имеет те же эксплуатационные характеристики, что и металлические. Однако более устойчив к конденсату и коррозии, но более дорог. Имеет широкий спектр применения – от дровяной печи до газовой колонки. Можно легко смонтировать как в готовом доме, так и снаружи. В продаже имеется широкий перечень заводских элементов.
Размер дымохода из кирпича. Выбор строительного материала для дымохода
Для того, чтобы сформировать кирпичный дымоход, необходимо изучить положения ГОСТа 8426-75. Нельзя экономить на основных материалах, для возведения требуется красный кирпич марки 200 и больше, достаточно отожженный.
Определить показатели качества можно по звонкому звуку во время постукивания по нему. Форма кирпичных изделий представлена правильным параллелепипедом, с оптимальным размером 25*12*7 см.
Можно ли выложить дымоход из облицовочного силикатного кирпича: для кладки не используются данные виды из-за низкой устойчивости к температурным перепадам.
Большую роль играет состав раствора, основные разновидности представлены:
- глиняно-песчаным — применяется для внутренних работ, компонентный состав зависит от показателей жирности глины и может составлять 1 к 1 или 1 к 3;
- известково-цементным — используется для формирования стояка в чердачном помещении;
- цементно-песчаным — вместе с ним выполняется образование части трубы, находящейся над кровлей, смесь берется 1 к 3 или 1 к 4.
Производство предлагает готовые сухие составы, предназначенные для формирования дымоходов из кирпича. Он разводится до консистенции густой сметаны при помощи воды и тщательного перемешивания.
Дополнительная герметизация системы обеспечивается герметиком, способным выдерживать температуру до 1 тысячи градусов.
Смесь печная огнеупорно-кладочная
При работах требуется наличие определенного вида инструмента, представленного:
- кельмой (мастерком), молотком, киянкой, расшивкой, швабровкой, деревянной порядовкой — для основной кладки;
- растворной лопатой, строительным миксером, мерной тарой, емкость для разведения смесей — для изготовления раствора;
- строительным уровнем, отвесом, рулеткой, угольником, металлической линейкой, шнуром причалка — для контроля выполнения.
Болгарка позволит качественно разрезать кирпич, если дополнительно потребуется залить фундамент, то пригодиться вибратор. Ветошью и металлической щеткой нужно снимать излишки раствора и скопившуюся грязь.
Размер дымохода из кирпича. Выбор строительного материала для дымохода
Для формирования кирпичного дымохода необходимо изучить положения ГОСТа 8426-75. Нельзя экономить на основных материалах, для возведения требуется красный кирпич марки 200 и больше, достаточно отожженный.
Определить показатели качества можно по звонкому звуку во время постукивания по нему. Форма кирпичных изделий представлена правильным параллелепипедом, с оптимальным размером 25*12*7 см.
Можно ли выложить дымоход из облицовочного силикатного кирпича? Для кладки не используются данные виды из-за низкой устойчивости к температурным перепадам.
Состав раствора
Большую роль играет состав раствора, основные разновидности представлены:
- Производство предлагает готовые сухие составы, предназначенные для формирования дымоходов из кирпича.
- Он разводится до консистенции густой сметаны при помощи воды и тщательного перемешивания.
Дополнительная герметизация системы обеспечивается герметиком, способным выдерживать температуру до 1 тысячи градусов.
Смесь печная огнеупорно-кладочная
При работах требуется наличие определенного вида инструмента, представленного:
- Болгарка позволит качественно разрезать кирпич, если дополнительно потребуется залить фундамент, то пригодится вибратор.
- Ветошью и металлической щеткой нужно снимать излишки раствора и скопившуюся грязь.