Выполнение расчетов высоты дымовой трубы. Сила тяги: как добиться идеального сгорания топлива
- Выполнение расчетов высоты дымовой трубы. Сила тяги: как добиться идеального сгорания топлива
- Минимальная высота дымохода. Как самому рассчитать высоту трубы
- Высота трубы от конька. Высота дымохода над коньком
- Какой должна быть высота трубы над крышей. Четкий технологический регламент
- Расчет дымохода для банной печи. Почему рассматриваются именно твердотопливные приборы?
- Диаметр дымохода для печи. Как рассчитать диаметр дымохода
Выполнение расчетов высоты дымовой трубы. Сила тяги: как добиться идеального сгорания топлива
На саму силу тяги оказывают воздействие сразу несколько важных факторов:
- высота фундамента над уровнем моря;
- температура дымовых газов на выходе из печи;
- форма поперечного сечения дымоходной трубы;
- гладкость или шероховатость внутренней поверхности;
- нарушение внутренней герметичности дымохода;
- температура и влажность наружного воздуха;
- вентиляция помещения с котлом или печью;
- полнота сгорания топлива;
- степень загрязнения котла (или печи) и дымохода;
- тип используемой горелки (модуляционная она или дискретная).
Первым делом вам нужно определить величину статической тяги дымохода, а измеряется в величине ∆p . Вот формула для расчета:
h=(∆p·Tp·Tн)/(3459·(Tp-1,1·Tн))
Тр – это средняя температура в трубе, а Тн – наружная температура. Измеряют ее по умолчанию в градусах по шкале Кельвина, но можно указать и по Цельсию, добавив +273.
Вычислить среднюю температуру не сложно. Обычно ее сообщают в технических данных к котлу, но важно также учитывать охлаждение. Это 1 градус на каждый метр кирпичной трубы, 2 градуса на метр стальной изолированной и 5 градусов на неизолированной.
При этом значение наружной температуры желательно брать то, что характерно для лета как самого проблемного времени для тяги:
Сделайте аэродинамический расчет и узнаете точную необходимую высоту и диаметр дымовой трубы. Сама по себе величина тяги означает разницу плотностей воздуха и дымового газа, умноженные на высоту дома. Именно 5 метров дымохода обеспечивают разрежение и тягу для дыма .
Но что делать, если высоту трубы уже выше ставить нельзя, а тяга по определенным причинам еще недостаточна? Такое нередко бывает, когда дымовые газы остывают слишком быстро, особенно в холодное время года. Тогда для восстановления тяги нужный участок трубы просто утепляют.
Также помните, что реальная тяга всегда меньше статической из-за сопротивления движения газов внутри стенок трубы. Чем уже проходное сечение дымохода, и чем больше в нем изгибов, горизонтальных участков и тому подобное – тем хуже будет тяга, ведь на тягу влияет потеря давления по всей длине трубы.
Еще одна проблема, связанная с высотой дымохода, заключается в холодном воздухе из камина. Так, когда он не работает, из него выпускают холодный воздух с улицы. Происходит это тогда, когда оголовок дымохода находится ниже окончания вентиляционной вытяжки, или когда мансарда слишком большая и плохо утеплена.
Минимальная высота дымохода. Как самому рассчитать высоту трубы
Далее будет приведена методика самостоятельного расчета — ориентирована она на СНиП 41-01-2003 «Отопление, вентиляция и кондиционирование» . Согласно этому документу мы располагаем следующими сведениями:
- минимальная высота дымовой трубы, которая считается от оголовка до колосника, составляет 5 м;
- оптимальная же высота должна быть 6 м.

Проход круглой трубы через кровлю
Однако эти данные ничего абсолютно не говорят о том, какой параметр выбрать в конкретном случае, под конкретное оборудование. Поэтому специалисты пользуются следующей формулой.

Формула расчета высоты трубы
Ориентируясь на представленную формулу, выведем основные параметры, которые необходимы для точных расчетов.
- А – метеорологические условия окружающей местности. Имеется в виду некоторый коэффициент, который уже рассчитан профессионалами и представлен в описательных документах. Например, для северных регионов установлено значение этого параметра в 160.
- Mi – это масса веществ, проходящих через дымовую трубу за определенную единицу времени. Этот параметр можно узнать из документации, прилагаемой к отопительному прибору.
- F – скорость оседания частиц, которые образуются во время горения топлива. Этот показатель можно найти в нормативных документах по используемому типу топлива. В качестве примера возьмем дрова и электрический нагреватель. В первом случае рассчитано значение в 25 единиц, а во втором – 1.
- (Спдкi и Сфi) – концентрация разных веществ в газе, который необходимо вывести. Оба показателя также берутся из инструкции, прилагаемой к отопительному оборудованию.
- V – объем отводимого газа.
- Т – температурная разница между поступающим воздухом и газом на выходе из трубы.

Вычисление высоты дымохода
Высота дымохода над крышей тоже очень важный параметр. Он определяется, исходя из формы крыши – все данные также взяты из приведенного выше СНиП.

Плоская крыша здания
Если крыша у строения плоская, то высота трубы определяется так.
Таблица. Высота трубы для плоской кровли.
| Условия | Установленная высота над кровлей |
|---|---|
| У крыши отсутствуют парапеты и прочие установленные устройства. | 120 см. |
| На крыше присутствуют защитные бордюры и прочее оборудование. | К максимальной высоте установленного оборудования прибавляется 1 м. |
| На крыше установлена вентиляционная труба. | Высота дымохода на 50 см должна быть больше высоты вентиляционной трубы. При этом расстояние между ними минимально должно составить 5 м. |

Высота дымохода на плоской крыше
Если крыша у вас скатная, то на высоту дымохода будет влиять его расположение относительно конька крыши – имеется в виду удаленность (расстояние между ними).
Таблица. Высота трубы для скатной кровли.
| Условия | Установленная высота над кровлей |
|---|---|
| Расстояние от конька до дымовой трубы составляет 1,5 м или меньше. | Минимальная высота берется 50 см. |
| Расстояние составляет 1,5-3 м. | Высота дымохода устанавливается по самой высокой точке крыши. |
| Расстояние более 3 м. | В этом случае необходимо замерить угол между горизонтальной линией, проведенной по уровню конька и верхней точкой дымохода – он должен составить ровно 10 градусов. |

Минимальная высота дымохода должна всегда быть 5 м
Также на высоту дымохода над коньком могут повлиять сторонние факторы, такие как расположенные в непосредственной близости строения и высокие деревья. Наличие таких помех образует зону ветрового подпора. В этой зоне практически невозможно обустроить хорошую тягу, которой будет достаточно для нормальной работы отопительного прибора. Чтобы выйти из этой ветровой зоны, требуется увеличить высоту дымовой трубы минимум на 50 см.

Для обеспечения стабильной тяги важно, чтобы оголовок трубы на крыше имел достаточную высоту относительно конька и не попадал в зону ветрового подпора
Аналогичная ситуация будет, если расположить отопительное оборудование в низком подсобном помещении, пристроенном к дому или расположенному в непосредственной близости. Оба варианта показаны на схеме выше.

Высота трубы от конька. Высота дымохода над коньком
Когда рассчитывается высота дымохода над крышей, необходимо учесть расстояние, на котором будет находиться труба, тип крыши и затрудняющие прохождению ветра строения или деревья.
Если кровля ровная или труба находится от конька на расстоянии не более полутора метров, то минимальная высота дымохода равна 500 мм.
При расстоянии от конька до центра дымоотводящего канала от 1500 до 3000 мм высота трубы дымохода должна быть либо вровень с коньком, либо немного выше.
В случае предполагаемого нахождения трубы на расстоянии более 3-х метров от конька, придется рассчитать высоту трубы дымохода. Ее минимальная высота должна быть на уровне 10˚ от воображаемой линии горизонта.
Графически это делается следующим способом. Нужно нарисовать в масштабе дом. От наивысшей точки провести горизонтальную линию по направлению дымохода. На месте трубы рисуется перпендикуляр. При помощи транспортира от конька откладывается угол в 10 градусов и проводится линия до пересечения с трубой. Это и будет высота дымохода. Исходя из заданного масштаба, результат переводится в реальный размер.
При математическом расчете придется вспомнить школьную программу или воспользоваться онлайн калькулятором. Для этого необходимо знать точную высоту дома по уровню конька и расстояние, на котором будет находиться дымоход. Измерения проводятся при помощи рулетки (не у каждого дачника под рукой лазерные измерительные приборы).
Например. Высота равна 8 метрам. Расстояние до центра трубы – 5 метров. И есть угол в 10˚. Смежный с ним – 80˚. Исходя из него, и проводятся вычисления по формуле:
х = y ÷ tg80˚,
где х – расстояние от конька до вершины трубы, у – от предполагаемого центра дымохода до конька. tg80˚ равен 5,67.
х = 5 ÷ 5,67 = 0,88. Округляется до 0,9.
Выходит, что верхушка дымохода должна быть ниже на 0,9 метра от верха здания. То есть, при высоте строения в 8 метров, труба поднимается от уровня земли на 7,1 м.
Какой должна быть высота трубы над крышей. Четкий технологический регламент
Правила оптимального подбора высоты дымовой трубы относительно конька крыши регламентированы сборником СНиП 41-01-2003 в подразделе, посвященном печному отоплению. Согласно техническим предписаниям:
- Общая длина дымового канала от колосниковой решетки до выходного отверстия должна быть не менее 5 м. В домах с бесчердачной кровельной конструкцией допускается высота дымохода меньше 5 м при условии устойчивой тяги.
- Высота дымохода над плоской кровельной конструкцией должна быть не менее 0,5 м.
- Дымовая труба обязана возвышаться над коньком на 0,5 м или более, если расстояние между ней и коньковым ребром по горизонтали не превышает 1,5 м.
- Устье дымохода должно быть вровень с коньковым ребром по высоте или несколько выше его, если расстояние по горизонтали между трубой и линией конька находится в интервале 1,5 – 3 м.
- Выходное отверстие дымохода должно быть не ниже линии, отложенной от конька в сторону карнизного свеса под уклоном 10º по отношению к горизонту.
Высота расположенных рядом с дымоходом вентиляционных и вытяжных труб должна быть равной высоте трубы отопительного агрегата.

Наиболее рациональным расположением дымохода для скатных крыш считается максимальное приближение к коньковому ребру, потому что:
- В любом варианте проектирования дома со скатной крышей расположение рядом с коньком обеспечит максимальное расстояние от дна колосника до устья дымохода.
- Воздействию воздушных потоков на дымоход не помешает коньковый барьер.
- Наибольшее приближение к коньку гарантирует самые низкие затраты на сооружение дымового канала.
Если между коньковым ребром и трубой не больше 1,5 м, то с определением высоты несложно справиться обычным методом построения модели дома. Для его реализации действовать будем следующим образом:
- На выполненной в удобном масштабе схеме дома параллельно поверхности земли проводим прямую линию.
- От нее в месте пересечения кровли с дымоходом вверх откладываем в том же масштабе полметра.
- В полученной точке проводим новую горизонталь. Она укажет минимальную высоту, на которой имеет право находиться устье дымохода.
Аналогичным методом находим лимит высоты дымохода, если между коньковым ребром и трубой расстояние по горизонтали больше 1,5 м, но меньше 3,0 м. Только действий выполняем меньше. От вершины крыши просто откладываем горизонталь, которая укажет минимальную высоту наружного отрезка дымового канала.

Самый сложный процесс вычислений высоты трубы над коньком скатной крыши характерен для ситуаций, когда между дымоходом и коньковым ребром больше трех метров. Тогда продвигаться в определении параметров дымохода надо или математическим, или графическим путем.

Следует помнить, что завышать размеры отрезка дымовой трубы, выходящего за пределы кровельной конструкцией, категорически не рекомендовано. От слишком сильного ветра высокий дымоход может опрокинуться. В ситуациях, когда по техническим причинам установки высокой трубы над кровлей избежать не удалось, ее укрепляют растяжками.
Расчет дымохода для банной печи. Почему рассматриваются именно твердотопливные приборы?
Всё просто – с ними в этих вопросах всегда больше проблем, если сравнивать с газовыми. Поясним почему:
- Прежде всего, газовые отопительные приборы – это практически всегда изделия заводского производства. То есть обязательно имеют патрубок определенного сечения для подсоединения к дымоходу. Оговаривается площадь сечения канала и в технической документации модели. То есть все довольно просто – ни на одном из участков уходящего вверх дымохода зауживать канал не допускается.
Котлы или печи заводской сборки всегда имеют патрубок для подключения дымохода. То есть проблема с сечением дымохода уже не стоит – оно должно быть не меньше указанного в технической документации.
- Температура выходящих в дымоход продуктов сгорания газа несоизмеримо меньше, чем у образующихся при сгорании древесины или иного твёрдого топлива.
- Трудно сравнить и объёмы образующихся при сгорании «голубого» и твердого топлива газовых смесей. Разница здесь – весьма существенная!
А вот твердотопливные отопительные приборы, печи или котлы, очень часто создаются самостоятельно. Или же достаются «в наследство» от бывших владельцев дома. И вот здесь никогда не лишней будет проверка параметров подключённого к такому прибору дымохода.
Впрочем, то, что касается высоты трубы и проверки тяги – наверное, можно в полной мере отнести и к газовому отопительному оборудованию. Сечение-то известно, но остальное проверить не помешает.
Но начнем именно с сечения.
Диаметр дымохода для печи. Как рассчитать диаметр дымохода
При проектировании дымохода, необходимо выбрать тот материал, который использовать. А материал во многом зависит от того, какое топливо будет использоваться при отоплении. Ведь дымоход предназначен для вывода остатков горения одного топлива, и не подойдет при другом. Например, дымоходная труба из кирпича прекрасно функционирует с дровами, но не годится для отопительных приборов, работающих с газовым топливом.
Кроме этого, необходим верный расчет диаметра домоходной трубы. Если дымоотвод используется для одного обогревательного прибора, проблему можно решить, просмотрев технические документы, предоставленные заводом, изготовившим прибор. А если в одну трубу подключается несколько разных систем, то для расчета дымохода, нужно знание законов термодинамики, профессиональный расчет, особенно диаметр трубы. Неправильно считать, что диаметр нужен побольше.
Шведский метод
Среди разных способов расчета диаметра, важна оптимально подходящая схема, особенно если приборы низкотемпературные и длительного горения.
Для определения высоты учитывают отношение площади сечения дымоходной трубы к внутренней камере сгорания. Высоту трубы определяют соответственно графику:

Где f — площадь разреза дымохода, а F – площадь топки.
Пусть, к примеру площадь сечения топки F равна 70*45=3150 кв. см, а сечение дымоходной трубы f — 26*15=390. Соотношение между приведенными параметрами составляет (390/3150)*100%=12,3%. Сверив полученный результат с графиком, видим что высота дымохода примерно равна 5 м.
Важно! Такой метод вычисления больше подходит для каминных приборов, ведь здесь не учитывается объем воздуха внутри топки.
Важно! В случае установки дымоотвода для сложных отопительных систем важно рассчитать параметры дымоотводящей трубы.
Точный расчет
Чтобы рассчитать нужное сечение дымохода, обязательно учесть все его характеристики. Для примера можно выполнить стандартный подсчет размеров дымоотвода, подключаемой к дровяной печи. Берут такие данные для вычислений:
- температура отходов горения в трубе равна t=150°С;
- скорость прохождения по трубопроводу отходов равна 2 м/с;
- скорость сгорания дров B равна 10 кг/ч.
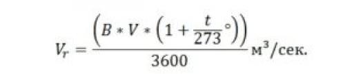
Если следовать этим показателям, можно заняться расчетами. Для этой цели вычисляют количество выходящих продуктов горения по формуле:

Здесь V равен количеству воздуха, который требуется для сгорания топлива со скоростью v= 10 кг/час. Оно равно 10 м³/кг.

