Размер и диаметр дымохода для печи на дровах. Приблизительный и точный расчет диаметра дымохода.
- Размер и диаметр дымохода для печи на дровах. Приблизительный и точный расчет диаметра дымохода.
- Диаметр дымохода для буржуйки. Варианты конструкции дымохода
- Диаметр дымохода для твердотопливного котла. Требования к обустройству дымохода
- Какой диаметр трубы для дымохода. Какого диаметра должен быть дымоход?
- Диаметр дымохода для котла 24 квт. Принцип работы и устройство
- Как влияет диаметр дымохода на тягу. Зачем утеплять дымоход для твердотопливного котла?
- Диаметр трубы для печки в гараж. Как сделать дымоход для буржуйки
- Можно ли заужать диаметр дымохода. Нюансы монтажа керамических дымоходов в доме.
- Размер дымохода из кирпича. Как сделать дымоход из кирпича: устройство, размеры, кладка своими руками
Размер и диаметр дымохода для печи на дровах. Приблизительный и точный расчет диаметра дымохода.
На сложной математической платформе базируются точные вычисления. Чтобы рассчитать диаметр дымохода , необходимо знать его основные характеристики, а также характеристики топлива и прибора отопления. Для примера можно взять расчет стандартной трубы с круглым сечением без поворотных узлов, подключенной к печи и работающей на дровах. Берутся следующие входные параметры вычисления:
- температура газов при входе в трубу t– 150°С;
- средняя скорость прохождения газов по всей длине – 2 м/с;
- скорость сжигания дров (топлива) при одной закладке B= 10 кг/час.
Следуя этим данным можно переходить непосредственно к расчетам. Сначала требуется узнать какой объем выходящих газов, он определяется по формуле:

Где V – это объем воздуха, необходимый для поддержания процесса горения со скоростью 10 кг/час. Он равняется – 10 м³/кг.
Подставив данное значение получим результат:

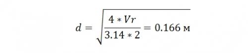
Затем подставляем это значение в формулу, по которой вычисляется диаметр дымохода :

Чтобы произвести такой расчет, нужно точно знать все параметры в будущей системы отвода газов. Данная схема очень редко применяется на практике, особенно в случае организации бытовой автономной системы отопления. Определить диаметр дымохода можно и другими способами.
Например, исходя из габаритов камеры сгорания. Поскольку количество сжигаемого топлива зависит от ее размеров, значит объем входящих газов тоже зависит от нее. Если открытая топка и дымоход с круглым сечением, то соотношение принимается 1:10. То есть когда размер камеры сгорания равняется 50*40 см, значит оптимальный диаметр дымохода будет составлять 18 см.
При возведении кирпичной конструкции дымохода соотношение равно 1:1,5. Диаметр дымоходной системы в этом случае должен быть больше размера поддувала. Квадратное сечение будет не меньше 140*140 мм (это связано с создающимися в кирпичной трубе завихрениями).
Диаметр дымохода для буржуйки. Варианты конструкции дымохода
Принципиальная схема конструкции дымохода для буржуйки может быть исполнена по одному из трех видов, различающихся по месту расположения трубы и ее выходу из помещения наружу.

Три основных схемы расположения дымохода в помещении
- Дымоход может выходить на улицу через стену на уровне 200 ÷ 250 мм от потолка. Это — удобная и эффективная конструкция, так как тот отрезок дымоотводной трубы, который проходит через помещение, будет играть роль своеобразной «батареи», достаточно мощного теплообменника, который эффективно включается в общий процесс обогрева, отдавая в комнату вырабатываемое печью тепло. Это способствует повышению общей теплоотдачи от буржуйки, а значит , для достижения и поддержания нужного уровня температуры будет истрачено намного меньше топлива.
- Второй вариант редко применяют в условиях гаражей или мастерских, так как конструкция достаточно трудоемка в монтаже. В этом случае дымоход тоже проходит через все помещение, но не сворачивает в отверстие в стене, а поднимается через потолочное перекрытие и выводится на улицу сквозь чердак и далее, через кровлю. Конструкция тоже весьма эффективна для обогрева комнаты, но для проведения трубы через чердачное перекрытие нужно предпринять целый ряд мер, чтобы обезопасить от перегревания все потенциально боящиеся огня материалы. Для этого в толще перекрытия необходимо установить вокруг трубы специальный короб, который заполняется жаростойким составом, например, мелкофракционным керамзитом или минеральной ватой.
Диаметр дымохода для твердотопливного котла. Требования к обустройству дымохода
В котле создается область повышенного давления и температуры, отработанный горячий воздух под воздействием силы тяги стремится в область пониженного давления.
Тяга может быть естественная и принудительная, когда ее сила увеличивается за счет вентилятора или дымососа.
- Строго вертикальное расположение и цилиндрическая форма обеспечивает наибольшую эффективность аэродинамической силы, с помощью которой дым, сажа, частички пепла и копоти, смоляные выделения, водяной пар выводятся в атмосферу и не оседают на элементах отопительного оборудования и самого дымохода.
- Диаметр выходящего канала должен быть больше диаметра патрубка, что даст увеличение силы тяги.
- В документах на обогревательный твердотопливный котел указывается минимальная длина высота трубы.
- При установке дымохода учитывают особенности материала кровли, расстояние до крыши и конька, ее угол наклона, расстояние до стены, класс горючести стенового материала.
- Длина тройника должна быть не менее 1 метра и служит для соединения системы дымоотвода в единую конструкцию. В нем происходит изменение направления подачи горячих отработанных газов с горизонтального в вертикальное. Угол поворота составляет 900.
- Установка дефлектора защищает верх трубы от попадания воздуха при сильных порывах ветра, сухих листьев, мусора, пыли и позволяет увеличить тягу. Сильный порыв ветра может погасить горелку.
- Высота трубы должна быть минимум на 70 см выше конька крыши, чтобы избежать засасывания отработанного воздуха под кровлю дома.
- Угол присоединения коленей конструкции должен быть 450, отступ до изолированных участков не менее 25 см, до горючих фасадных материалов не менее 50 см, а кровельных элементов 38 см при обязательном наличии термоизоляции.
Какой диаметр трубы для дымохода. Какого диаметра должен быть дымоход?
Если Вы покупаете отопительный агрегат заводского производства, то в паспорте к изделию производитель указывает диаметр дымохода. Если печь самодельная – кирпичная или сварная, то диаметр дымохода расчетная величина. Диаметр такой трубы рассчитывается исходя из размеров печи и ее мощности.
Диаметр сэндвич трубы для дымохода
Например, в паспорте к печке указан диаметр дымохода 100 мм и Вы решили установить дымоход из нержавеющей стали . Диаметр стартового участка трубы будет 100 мм. После устанавливаем сэндвич трубу будущего дымохода. Такая труба состоит из внутреннего контура, который в нашем случае будет 100 мм, теплоизолятора толщиной 50 мм и наружного кожуха диаметром 200 мм.
Получается, что стартовый элемент дымохода и внутренний контур сэндвич трубы будут того диаметра, который рекомендует производитель отопительного агрегата, а диаметр наружного кожуха сэндвич трубы зависит от толщины теплоизоляции.
Этот параметр может пригодиться при проектировании, чтобы учесть габариты сэндвич дымохода и соблюсти нормы пожарной безопасности.
| 100 мм | 115 мм | 130 мм | 150 мм | 180 мм | 200 мм |
диаметр дымохода | диаметр дымохода | диаметр дымохода | диаметр дымохода | диаметр дымохода | диаметр дымохода |
Изменение диаметра сэндвич трубы дымохода
Вот несколько ответов на самые популярные вопросы наших клиентов:
«В паспорте к печи-камину написано: Установить дымоход диаметром 150 мм. Можно ли сделать дымоход меньшего диаметра?»
Мы не рекомендуем уменьшать диаметр, поскольку может появиться эффект обратной тяги и дым попадет в помещение.
«Мне нужен дымоход диаметром 200 для камина. Могу ли я на первом этаже дома сделать диаметр 200, а со второго этажа перейти на меньший диаметр?» Мы не рекомендуем уменьшать диаметр на протяжении всего дымового канала.
«У меня два отопительных агрегата – камин с диаметром дымохода 200 на первом этаже и печь с диаметром дымохода 150 на втором. Какого диаметра должен быть их общий дымоход?» Если камин и печь не будут работать одновременно, то диаметр дымохода делаем 200 (выбираем по максимальному диаметру). Если камин и печь могут работать одновременно, то диаметр дымохода делаем 250 (расчет произведен через суммирование площадей двух сечений).
«У меня в доме сделан кирпичный канал. Хочу установить камин и сделать гильзу круглого сечения. Камин с каким диаметром дымохода я могу выбрать?» В вашем случае, диаметр дымохода рассчитывается через площадь сечения кирпичного канала. Площадь сечения круглого дымохода должна быть не меньше площади сечения прямоугольного кирпичного канала. Так, например, если сечение кирпичного канала 120*240, то максимальный диаметр дымохода может быть 200 мм. Выбирайте камин, в инструкции которого указан диаметр 200 мм или меньше.
Диаметр дымохода для котла 24 квт. Принцип работы и устройство
В семействе устройств для отведения продуктов сгорания коаксиальный дымоход стоит особняком. Эта современная конструкция гораздо эффективнее и безопаснее, чем обычная дымоходная труба. Такая система идеально подходит для котлов с закрытой камерой сгорания.
Чтобы сделать коаксиальный дымоход, необходимо взять две трубы разного диаметра и вложить узкую трубу внутрь широкой. Еще нужно соединить внутреннюю сторону широкой трубы и внешнюю сторону узкой трубы специальными перемычками таким образом, чтобы центральные оси обеих труб совпадали. Ну вот, коаксиальный дымоход готов.
На практике такую конструкцию, разумеется, проще и надежнее купить, чем сделать. Стоимость коаксиального дымохода будет повыше, чем цена обыкновенной трубы из нержавеющей стали, но расходы окупятся в полной мере.
Использование коаксиального дымохода позволяет выводить продукты сгорания через фасад дома,нет необходимости устанавливать 5м вертикальную дымовую трубу
Двойная труба необходима для одновременного выполнения двух функций. По внутренней узкой трубе из топки котла отводятся продукты сгорания. А через просвет между внутренней и внешней трубой в камеру сгорания поступает воздух, т.е. кислород, необходимый для горения топлива.
Такое решение имеет целый ряд преимуществ. Альтернативой коаксиальному дымоходу является традиционный дымоход в сочетании с принудительным нагнетанием воздуха в камеру сгорания.
В этом случае воздух обычно забирается из помещения, в котором установлен котел. Коаксиальный же дымоход позволяет брать воздух с улицы и подавать его непосредственно в топку.
На схеме изображен общий принцип работы коаксиального дымохода, а также его устройство по сравнению с традиционной дымоходной трубой (+)
Что происходит в таком дымоходе во время работы котла? Горячие продукты сгорания движутся по внутренней трубе наружу, а в обратном направлении идет параллельный поток свежего холодного воздуха. В результате происходит совершенно естественный теплообмен: горячий газы отдают тепло соседнему холодному потоку.
Воздух поступает в камеру сгорания уже в подогретом состоянии, что повышает общий КПД котла, ведь не нужно тратить драгоценные килоджоули на подогрев воздушных масс. При этом температура наружной поверхности коаксиального дымохода заметно ниже, чем при использовании стандартной дымоходной трубы. Это обстоятельство и делает конструкцию более безопасной.
Еще одно преимущество коаксиального дымохода – более простой монтаж котла , потому что не придется устанавливать систему принудительной вентиляции . Кроме того, к этим конструкциям предъявляются иные требования, чем к традиционным дымоходам. В результате система удаления продуктов сгорания занимает меньше места.
На наружной стороне здания труба коаксиального дымохода смотрится гораздо лаконичнее и занимает меньше места, чем при наружном монтаже традиционного дымохода
Коаксиальные дымоходы универсальны, их можно устанавливать и с газовыми котлами, и с устройствами, работающими на жидком или твердом топливе. В продаже имеются дымоходы с различным диаметром, что позволяет подобрать подходящие трубы для конкретного котла.
Монтаж традиционного дымохода в уже построенном здании – задача довольно сложная. Если установка дымохода не была предусмотрена при проектировании, приходится проходить перекрытия и кровлю или выводить дымоход наружу.
Громоздкое сооружение может создать проблемы как внутри здания, так и снаружи. Но коаксиальные конструкции проще и компактнее. Вывод такого дымохода на наружную стену выглядит лаконично, он не испортит внешний вид дома.
Как влияет диаметр дымохода на тягу. Зачем утеплять дымоход для твердотопливного котла?
Для чего нужно утеплять дымоход для твердотопливного котла? Для того, чтобы дымовые газы на выходе из котла не охлаждались слишком быстро. Современные ТТ котлы и так являются устройствами с максимально повышенным КПД. Это значит, что конструкция котла обеспечивает максимальный «отбор» тепловой энергии у дымовых газов в процессе их «путешествия» по теплообменнику котла.
Значит, исходящие дымовые газы, попадая в дымоходную трубу, уже имеют предельно низкую температуру. А если они еще будут продолжать отдавать тепло сквозь стенки трубы в окружающие помещения или уличный воздух, то их движение будет все более замедляться. А значит, опять не будет нормальной тяги в дымоходе.
Чтобы такого не происходило, дымоходная труба для твердотопливного котла или печи должна быть утеплена. Для этой цели проще всего использовать готовые сэндвичи, которые представляют собой двойные цилиндры из нержавеющей стали, пространство между которыми заполнено базальтовым утеплителем или вермикулитом.
Труба дымохода для твердотопливного котла, собранная из сэндвичей по 1,0 и 0,5 метра имеет еще ряд преимуществ, кроме основного – улучшения тяги:
- Простота сборки, т.к. возможен легкий монтаж секций по 0,5 и 1,0 метра
- Коррозионная стойкость нержавеющей стали к внешним осадкам и конденсату в трубе
- Удобное удаление конденсата из дымовой трубы при помощи сливного крана на тройнике
- Привлекательный внешний вид, можно пустить трубу из сэндвичей по фасаду дома
Кроме применения сэндвичей, утепленный дымоход для твердотопливного котла можно получить еще 3 способами:
- Утеплить старую дымовую трубу базальтовым утеплителем или вермикулитом.
- Использовать старую кирпичную трубу от котла или печи, загильзовав ее вставками из нержавеющей трубы.
- Смонтировать утепленный керамический дымоход
Первые два способа относятся к разряду бюджетных. Третий способ – наиболее затратный. Зато он заставит вас забыть о «дымоходном вопросе» на долгие годы.
Устройство дымохода для твердотопливного котла, изготовленного из керамических секций хорошо видно на представленной ниже схеме.
Такому дымоходу не страшен конденсат и он не подвержен коррозии. Кроме того, труба из керамики чрезвычайно огнестойка и не прогорает так, как стальная.
Диаметр трубы для печки в гараж. Как сделать дымоход для буржуйки
Как правильно сделать дымоход для буржуйки. Устройство дымохода буржуйки. Длина и диаметр дымохода для буржуйки.
Печь буржуйка это самый экономичный вариант для отопления гаража, бытовки, хоз. построек и небольшого дома. Но при установке печи буржуйки для эффективного обогрева помещения нужно ещё правильно спроектировать и установить дымоход.
При отоплении буржуйкой вместе с дымом по дымоходной трубе на улицу уходит значительная часть тепла, а это перерасход дров. Чтобы эффективней использовать тепловую энергию и пустить её на обогрев помещения, а не улицы, нужно сделать дымоход таким образом, чтобы как можно дольше в нём задерживался горячий дым. Но при этом важно не переусердствовать иначе буржуйка будет постоянно пропускать дым в помещение.
Как сделать дымоход для буржуйки.
Из чего сделать дымоход для буржуйки .
В качестве дымохода для буржуйки рекомендуется использовать металлические трубы с толщиной стенки 2 — 3 мм, не рекомендуется использовать тонкостенные оцинкованные трубы, они быстро прогорают.
Диаметр дымохода для буржуйки.
Какой диаметр трубы требуется для дымохода буржуйки?
Диаметр трубы для дымохода буржуйки зависит от нескольких показателей: объёма и формы топки буржуйки, количества колен на дымоходе, высоты дымохода, тяги и т. д. Подсчитать точный диаметр трубы довольно сложно, поэтому большинство печников рассчитывают диаметр трубы дымохода следующим образом. Чтобы рассчитать диаметр трубы дымохода нужно взять объём топки в литрах ( брать нужно только объём топки без объема зольника ) и умножить объём топки на значение 2,7 в результате мы получим примерный диаметр дымохода в миллиметрах.
Например, если объём топки буржуйки 40 литров, то диаметр дымохода должен быть 40 х 2,7 = 108 мм. Значит оптимальным вариантом, будет использовать для дымохода 110 мм трубу.
Данный способ подходит только для буржуек, для булерьянов берутся другие расчёты указанные производителем печи.
Длина дымохода для буржуйки.
Какой длины должен быть дымоход для буржуйки.

Высота дымохода для хорошей тяги должна быть на 0,5 – 0,6 метра выше конька крыши. Длина дымохода зависит от количества колен на трубе, чем больше колен, тем дымоход должен быть длиннее (выше) в верхней части. Для прямоточного дымохода достаточно и 3 метров длины всей трубы, а для дымохода с 2 коленами высота должна составлять не менее 5 – 6 метров.
Как правильно сделать дымоход для буржуйки.
При проектировании дымохода для эффективной работы буржуйки следует придерживаться следующих советов.
Не стоит делать прямоточный дымоход, большая часть тепла будет уходить в трубу, практичней изготовить разборной дымоход, состоящий из нескольких колен и протянуть трубу под наклоном вдоль стены помещения. Труба будет нагреваться и также греть помещение.

Разборная конструкция дымохода нужна для его чистки от сажи. Во время эксплуатации буржуйки на внутренних стенках дымохода постепенно образовывается сажа, которая со временем затрудняет проходимость дыма. Поэтому дымоход нужно периодически хотя бы раз в год чистить. Для чистки можно использовать приспособление верёвка и ёрш с грузом.
При проектировании дымохода следует избегать прямых углов в 90° трубы, каждый прямой угол значительно снижает скорость потока выходящего дыма, как результат весь дым не успевает выйти в дымоход, и часть его будет выходить через топочную дверку в помещение. Рекомендуется для соединения труб использовать колена с большим углом, а трубы дымохода располагать наклонно к верху.
Нижнюю часть трубы дымохода, которая стыкуется с буржуйкой желательно установить вертикально не менее 600 мм в высоту, это нужно, чтобы на выходе из топки образовался хороший поток дыма. Если сразу на выходе из топки поставить колено, скорость потока дыма уменьшится, и часть дыма не успевшего выйти в трубу, будет выходить в помещение через топочную дверку.
Для герметизации стыков между коленами используется асбестовый шнур или термостойкий герметик.
В месте выхода дымохода из помещения, в целях пожаробезопасности металлическую трубу нужно изолировать, для этого можно пропустить трубу через кусок асбестовой трубы большего диаметра.
Наружную часть трубы, выходящую из помещения желательно покрыть теплоизоляцией, это нужно для того, чтобы уменьшить количество сажи в дымоходе. Разность температур способствует повышенному образованию сажи на внутренних стенках дымохода, но если металлическую трубу замотать теплоизолятором, то сажи будет намного меньше.
Наверх дымохода нужно обязательно установить защитный грибок, чтобы дождевая вода не попадала в трубу, на мокрые стенки будет сильно налипать сажа.
Самая частая причина, по которой дымит печка – это забитый сажей и ржавчиной дымоход, поэтому его нужно периодически чистить.
Правильно спроектированный и установленный дымоход будет иметь хорошую тягу и увеличит теплоотдачу в помещение.

Можно ли заужать диаметр дымохода. Нюансы монтажа керамических дымоходов в доме.

Существуют ли решения, которые позволяют защитить крышу (рубероид/дерево) от продуктов горения камина, выходящих из дымохода?
Чтобы защитить крышу от продуктов горения необходимо установить на окончание (устье) дымохода искрогаситель. Это металлическая сетка с мелкими ячейками. Размер ячейки 5 мм.
Можно ли заужать диаметр дымохода?
Нет, в соответствии с п. 3.6.8. ВДПО «Правила производства трубо-печных работ» диаметр дымохода заужать запрещено: «…Площадь дымовой трубы не должна быть меньше площади дымоотводящего патрубка аппарата».
Подойдет ли алюминиевая гофра для отвода продуктов сгорания?
Нет, для соединения прибора с дымоходом допускается использовать трубы из нержавеющей стали толщиной не менее 1 мм.
Меня интересует устройство искрогасителя на дымоход из стальной трубы диаметром около 110 мм.
По конструкции искрогаситель независимо от диаметра дымохода представляет собой зонт с мелкой металлической сеткой. При прохождении дымовых газов и искр через сетку, дым проходит свободно, а несгоревшие фрагменты топлива задерживаются сеткой.
Чем отличаются марки стали 316 и 444?
Сталь марки 316 более кислотоустойчива и менее жаропрочна, чем 444. Поэтому в дымоходах, рекомендованных для использования с теплогенераторами на газовом и жидком топливе внутренняя труба изготовлена из стали 316, а в системе, рекомендованной для использования с печами и каминами на твёрдом топливе, внутренняя сталь марки 444.
Как определить диаметр дымохода?
Диаметр дымохода зависит от 2-х параметров: высота дымохода и мощность отопительного прибора. В случае с каминами с открытой топкой сечение дымохода определяется в зависимости от площади открытой топки (м2) и высоты дымовой трубы.
Какое расстояние должно быть между керамическим дымоходом и деревянным перекрытием?
По рекомендации производителя расстояние от дымоходной системы до горючих строительных конструкций составляет 5 см при t-ре отходящих газов 400°C и 10 см при t-ре 600°С. Зазор заполняется негорючей теплоизоляцией.
Можно ли устанавливать керамический дымоход на улице?
Да, можно. В этом случае дымоход необходимо утеплить (толщина утеплителя 5 см) и армировать по всей высоте. Также, следует продумать подогрев отвода конденсата (например, греющий кабель).
Можно ли установить зонтик на дымоход, подключенный к газовому котлу?
Устанавливать зонтик на дымоход, работающий с газовым котлом, запрещено, т.к. конденсат, стекающий с зонтика может испортить внешний вид дымохода. Зимой конденсат замерзает в устье дымохода, тем самым перекрывая его сечение.
Можно ли устанавливать керамический дымоход Schiedel в парной?
Да, можно, при условии облицовки дымохода негорючими влагостойкими материалами (например, кафель).
Из чего состоит основание керамического дымохода (3 п.м.)?
Основание дымоходной системы включает: ёмкость для сбора конденсата (16 см), тройник прочистки (66 см), тройник подключения (66 см)+керамические трубы 33 см, теплоизоляцию и керамзитобетонные блоки. Блок опора заказывается как отдельная позиция.
Какая температура на поверхности блока RONDO PLUS?
При температуре отходящих газов внутри дымохода 250°С на поверхности керамзитобетонного блока будет 25°С. При t-ре 600°C на поверхности будет около 46°С.
Можно ли установить дымоход RONDO PLUS в стене?
Да, можно. Необходимо оставить зазор между стеной и дымоходом 3 см. При t-ре отходящих газов более 400 °С в перекрытии заложить негорючую теплоизоляцию.
Сколько выдерживает консольная плита верхнего комплекта «Под обмуровку»?
Максимальная высота кирпичной кладки на консольной плите составляет 4 м.
Я делаю дымоход совместно с двумя вентканалами в деревянном доме. Он будет проходить через потолок и кровлю — они деревянные. Какое должно быть расстояние от дымохода до перекрытия из горючего материала? Нужна ли специальная разделка перекрытий?
Рекомендуемое расстояние при проходе перекрытий из горючих материалов дымоходом = 5 см (для Т≤400°С) = 10 см(400°С ≤ °Т ≤ 600°С).
Подскажите, какая схема установки дымохода является более предпочтительной: внутри дома или снаружи?
Установка дымохода внутри дома является более предпочтительной, так как в этом случае нет необходимости дополнительного утепления ствола дымохода и его дополнительной защиты от атмосферных осадков.
Размер дымохода из кирпича. Как сделать дымоход из кирпича: устройство, размеры, кладка своими руками
Эффективность и безопасность отопительного оборудования – печи и котла, – принцип действия которого основан на сжигании топлива, определяется состоянием и техническими параметрами дымохода. Самой востребованной и надежной конструкцией для частных домовладений и бань является кирпичный дымоход. Он отличается привлекательным внешним видом, хорошей тягой и простотой эксплуатации.
Качественное возведение дымохода предусматривает строгое соблюдение всех этапов технологического процесса, который связан с кирпичной кладкой.
Общие правила строительства кирпичных дымоходов
При строительстве дымоходной конструкции для частного дома важно учитывать ряд основных правил:
- Монтаж элементов дымохода начинается снизу вверх.
- Внутренняя труба устанавливается в предыдущий элемент конструкции, а наружная часть – насаживается сверху. Это обеспечивает защиту от образования конденсата на утеплительном слое, который расположен во внутренней части контура.
- Для фиксации дымоходной трубы с тройными и отводными элементами применяются хомутные соединители.
- Соединительные участки не должны располагаться на уровне перекрытий или кровельного пирога.
- Тройник монтируется на кронштейн-опору.
- Каждые 200 см дымоходной трубы фиксируются в стене при помощи надежных креплений.
- При фиксации трубы к стеновой поверхности не должно образовываться прогибов или деформаций дымоотвода. Это приведет к снижению тяги в готовой системе.
- Дымовой канал не должен соприкасаться с основными коммуникациями: электрической проводкой, трубой для подачи газа, водяными трубами, вентиляцией.
- При выводе дымохода через перекрытия и кровлю необходимо выполнить небольшой отступ на 15 см для теплоизолированных труб и на 30 см – для неутепленных труб.
- Следует избегать создания горизонтальных участков дымоотводной системы, длина которых превышает 100 см.